142. 环形链表 II
给定一个链表的头节点 head ,返回链表开始入环的第一个节点。 如果链表无环,则返回 null。
如果链表中有某个节点,可以通过连续跟踪 next 指针再次到达,则链表中存在环。 为了表示给定链表中的环,评测系统内部使用整数 pos 来表示链表尾连接到链表中的位置(索引从 0 开始)。如果 pos 是 -1,则在该链表中没有环。注意:pos 不作为参数进行传递,仅仅是为了标识链表的实际情况。
不允许修改 链表。
示例 1:

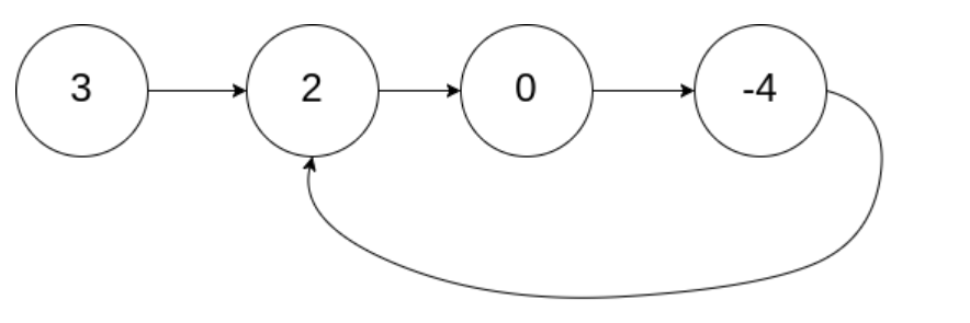
输入:head = [3,2,0,-4], pos = 1
输出:返回索引为 1 的链表节点
解释:链表中有一个环,其尾部连接到第二个节点。
示例 2:

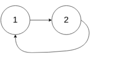
输入:head = [1,2], pos = 0
输出:返回索引为 0 的链表节点
解释:链表中有一个环,其尾部连接到第一个节点。
示例 3:

输入:head = [1], pos = -1
输出:返回 null
解释:链表中没有环。
提示:
- 链表中节点的数目范围在范围
[0, 104]内 -105 <= Node.val <= 105pos的值为-1或者链表中的一个有效索引
算法思路:
先使用 快慢指针 判断是否是环,是的话则找到快慢指针相遇的位置节点,如下图所示,可推出公式
x = (n - 1) (y + z) + z,n >=1,由该公式可知:从头结点出发一个指针,从相遇节点 也出发一个指针,这两个指针每次都只走一步, 那么当这两个指针相遇的时候就是 环形入口的节点。
公式推导详情可参考 链表:环找到了,那入口呢?

代码实现:
public class Solution {
public ListNode detectCycle(ListNode head) {
ListNode fast = head;
ListNode slow = head;
while (fast != null && fast.next != null) {
fast = fast.next.next;
slow = slow.next;
// 快慢指针相遇,此时从 head 和 相遇点,同时查找直至相遇
if (fast == slow) {
ListNode p = head, q = fast;
while (p != q) {
p = p.next;
q = q.next;
}
return p; // 返回环的入口
}
}
return null;
}
}